Lumira Designer Add-ons: Charts & Diagrams

Die Charts & Diagrams Add-ons der ABRACON bieten verschiedene Visualisierungsmöglichen im SAP Lumira Designer an. Das Ziel dieser Add-ons ist nicht der Ersatz des Standard Charts, sondern eine Erweiterung der graphischen Darstellungsarten, um Daten gezielt einfacher auswerten zu können.

BoxPlot

Das ABRACON BoxPlot Add-on für SAP Lumira Designer (ehem. SAP BO Design Studio) bietet eine besonders leicht zu interpretierende Kastengrafik an. Als Datenbasis kann eine beliebige Datenquelle mit einer Kennzahl genutzt werden.

Das Add-on visualisiert die Kennzahl der Datenquelle bezüglich Median, Interquartilsabstand und Spannweite. Mittels BIAL-Skript werden die Ausreißer und Quartile berechnet und über die Eigenschaften kontrolliert.

Gegenüber dem SAP Lumira Designer Standard BoxPlot kann die Darstellung während der Laufzeit durch verschiedene Selektionen angepasst werden. Bei Bedarf können Ausreißer ausgeblendet, sowie Quartile flexibel berechnet werden.

Besonders hervorzuheben ist der intelligente Anpassungs-Mechanismus des Add-ons: Je nach Breite und Höhe passt sich das Add-on automatisch an die neuen Gegebenheiten an. Zu jedem Zeitpunkt sind somit die Informationen erkenntlich.

Ihre Vorteile auf einen Blick

  • Kastengrafik zur Visualisierung von Median, Interquartilsabstand und Spannweite
  • Auf einen Blick das Datenspektrum überblicken
  • Leichtgewichtig und flexibel
  • Dynamische Anpassung zur Laufzeit

Mit Klick auf die Oberfläche erlauben Sie, dass das Video von Youtube geladen und abgespielt wird.

ComboChart

Das ABRACON ComboChart Add-on für SAP Lumira Designer (ehem. SAP BO Design Studio) bietet ein besonders vielfältig gestaltbares Diagramm. Als Datenbasis kann eine beliebige Datenquelle mit bis zu acht Kennzahlen und einem Merkmal gewählt werden. Wie bei allen unseren Komponenten können die Properties auch zur Laufzeit der Applikation über BIAL-Skript angepasst werden.

Im Gegensatz zur Standardkomponente „SAP Chart“ können die folgenden Visualisierungstypen vollständig individuell für jede Kennzahl festgelegt werden:

  • Datenpunkte
  • Linien (mit und ohne Datenpunkte)
  • Spalten
  • Gestapelte Spalten
  • Gebirge (bei null beginnend oder dynamisch über eine Kennzahl)

Neben den Visualisierungstypen lässt sich auch der Wertebereich der Y-Achse flexibel festlegen. Dieser kann entweder klassisch bei Null beginnen oder mit Hilfe eines intelligenten Algorithmus anhand der zugrunde liegenden Daten dynamisch festgelegt werden. Hierdurch können auch sehr nah aneinander liegende Werte sinnvoll visualisiert werden.

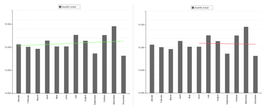
Als besonderes Feature bietet der ABRACON ComboChart die Möglichkeit einen linearen Trend auf Basis der angebundenen Daten zu berechnen und als Linie zu visualisieren. Der Startwert für die zur Berechnung genutzten Werte kann dabei flexibel festgelegt werden.

Sollte eine aktive Hierarchie für das im Aufriss liegende Merkmal vorliegen, bietet der ComboChart die Funktion, Knoten und/oder Blätter eines bestimmten ausgewählten Hierarchielevels zu visualisieren. Hierdurch werden präzisere und nutzerfreundlichere Darstellungen der Daten ermöglicht.

Mit Klick auf die Oberfläche erlauben Sie, dass das Video von Youtube geladen und abgespielt wird.

Ihre Vorteile auf einen Blick

  • Vielseitig gestaltbarer Chart für bis zu acht Kennzahlen und einer Dimension
  • Individuell kombinierbare Visualisierungstypen (Linien, Punkte, Balken, gestapelte Balken, Gebirge)
  • Berechnung und Visualisierung von linearen Trends
  • Intelligente Y-Achsen Skalierung
  • Visualisierung von frei selektierbaren Hierarchieleveln

FlexMap

Die ABRACON FlexMap (Flexible Map) Komponente für SAP Lumira Designer (ehemalig SAP BO Design Studio) visualisiert die Kennzahlen einer Datenquelle auf einer intuitiv bedienbaren Karte.

Das zu nutzende Kartenmaterial wird von einem in den Properties anzugebenden Tile Server zur Verfügung gestellt. Neben der Basiskarte lassen sich auch beliebig viele Überlagerungskarten definieren.

Die Position der Datenpunkte wird über Längen- und Breitengrade definiert. Die Datenpunkte können als Kreise, Rechtecke oder als frei definierbare Icons abgebildet werden. Wahlweise können die Datenpunkte auch zu einem Cluster aggregiert werden. Die Aggregationsform (Maximum, Durchschnitt und Summe) und die Skalierung des Clusters kann über die Properties definiert werden.

Bei Mouse-Over eines Datenpunkts wird neben einer Legende, in welcher die genauen Kennzahlen abgelesen werden können, auch die exakte Position der Datenpunkte visualisiert. Hiermit kann der Benutzer auch aggregierte Datenpunkte sehr genau analysieren. Die Form der Visualisierung kann ebenfalls über die Properties definiert werden. Für die Herkünfte stehen verbindende Linien, einfache Punkte oder Kreise zur deutlichen geographischen Abgrenzung zur Verfügung.

Mittels BIAL-Skript können Events definiert werden, welche beim Selektieren der Datenpunkte, Zoomen oder beim Klick auf die Legende ausgeführt werden sollen.

Ihre Vorteile auf einen Blick

  • Visualisiert Kennzahlen einer Datenquelle auf einer Karte
  • Tile Server für Kartenmaterial definierbar über Properties
  • Datenpunkte als Kreise, Rechtecke oder frei wählbare Icons abbildbar
  • Details und genaue Position der Daten über Mouse-Over visualisiert
  • Parametrisierbares Clustering der Datenpunkte möglich
  • BIAL-Skript zur Definition von Klick- und Selektions-Events

Mit Klick auf die Oberfläche erlauben Sie, dass das Video von Youtube geladen und abgespielt wird.

Hierarchy Tree

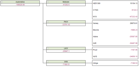
Das ABRACON Hierarchy Tree Add-on für SAP Lumira Designer (ehem. SAP BO Design Studio) bietet die Darstellung von Daten in Form eines Wertetreiberbaums. Als Datenbasis kann eine beliebige Datenquelle mit mindestens einer Kennzahl und einer aktiven Hierarchie genutzt werden.

Die Hierarchie kann beliebig sortiert sein (Kinderknoten über- oder unterhalb des Elternknotens). Über einen Parameter kann diese zusätzlich im Add-on gedreht werden, sodass die Reihenfolge der Knoten und Blätter umgekehrt wird. Mit Hilfe der angebotenen BIAL-Skript Schnittstellen können gezielt alle Knoten bis zu einem frei definierbaren Level aufgeklappt werden. Hierdurch wird eine effektivere Navigation im Baum ermöglicht.

Zusätzlich bietet das Add-on die Möglichkeit Kennzahlen anhand ihres Vorzeichens hervorzuheben (Alerting).

Mit Klick auf die Oberfläche erlauben Sie, dass das Video von Youtube geladen und abgespielt wird.

Ihre Vorteile auf einen Blick

  • Darstellung einer Kennzahl und Hierarchie in Form eines Wertetreiberbaums
  • Umgekehrte Darstellung von Hierarchien über Parameter möglich
  • Aufklappen aller Knoten eines frei definierbaren Hierarchielevels über BIAL-Skript
  • Hervorheben von Kennzahlen anhand des Vorzeichens (Alerting)

Maps

ABRACON Maps ist eine SAP Lumira Designer-Komponente (ehem. SAP BO Design Studio), mit der Sie ihre Dashboards um interaktive Landkarten erweitern können.

Die Komponente erlaubt es, frei definierbare Landkarten und beliebige Vektorgrafiken im SVG-Format einzubinden. Jedem Eintrag einer SAP Lumira Designer-Datenquelle können Sie ein Objekt in der gewählten Landkarte zuordnen. Zur Daten-Visualisierung stehen Ihnen unter anderem die beliebten "ColorBrewer"-Farbschemata zur Verfügung.

Der darzustellende Bereich der Landkarte lässt sich frei bestimmen. Die Darstellung wird hierbei automatisch skaliert. Selektierte Objekte in der Landkarte lassen sich zur weiteren Verarbeitung in der Design Studio-Anwendung problemlos auslesen.

Ihre Vorteile auf einen Blick

  • Einbindung beliebiger und frei definierbarer Landkarten
  • Verlustfreie Darstellung eines beliebigen Ausschnitts der Landkarte in beliebiger Größe
  • Intuitive Zuordnung von Datenquellen-Einträgen zu Landkarten-Objekten sowie Konfiguration des gewünschten Farbschemas
  • Verarbeitung von Benutzerinteraktionen via BI Action Language (BIAL) möglich
  • Interaktive Navigation (Zoom, Drill Down, Selektion) innerhalb der Landkarten unterstützt
  • Hierarchiedaten lassen sich ebenso visualisieren

Mit Klick auf die Oberfläche erlauben Sie, dass das Video von Youtube geladen und abgespielt wird.

Target Visualizer

Das ABRACON Target Visualizer Add-on erweitert SAP Lumira Designer (ehem. SAP BO Design Studio) um eine Chartkomponente, die im Vergleich zur Standardkomponente zusätzliche Formatierungs- und Visualisierungsoptionen bietet.

Als sinnvolle Ergänzung zum Funktionsumfang von SAP Lumira Designer bietet ABRACON Target Visualizer umfangreiche Anpassungsmöglichkeiten für Ihre Chartdarstellungen. Es können Kennzahlen in Gruppen angelegt werden, welche dann in derselben Farbe dargestellt werden. Zusätzlich können Kennzahlen als „target value“ deklariert werden, um zwei Kennzahlen in einem Balken darstellen zu können.

ABRACON Target Visualizer bietet gegenüber der Standardkomponente eine verbesserte Übersichtlichkeit mit Hilfe einer verringerten Menge an Balken/ Spalten. Somit wird die Informationserfassung gesteigert. Über die Eigenschaften kann der Chart flexibel auf die Anforderungen angepasst werden.

Mit Klick auf die Oberfläche erlauben Sie, dass das Video von Youtube geladen und abgespielt wird.

Ihre Vorteile auf einen Blick

  • Keine überfüllten Charts
  • Verbesserte Informationserfassung
  • Einfache Anpassbarkeit per CSS

Waterfall

Das ABRACON Waterfall Add-on für SAP Lumira Designer (ehem. SAP BO Design Studio) bietet ein besonders leicht zu interpretierendes, vertikales Wasserfall-Diagramm an. Als Datenbasis kann eine beliebige Datenquelle mit zwei Kennzahlen und einer berechneten Delta-Kennzahl genutzt werden.

Das Add-on schlüsselt die Abweichungen zwischen den zwei Kennzahlen auf einer BW-Hierarchie-Ebene bzw. der Summenzeile in seine Einzelwerte auf. Mittels BIAL-Skript kann ein Drill-down innerhalb einer BW-Hierarchie realisiert werden, um einzelne Hierarchie-Ebenen genauer zu analysieren.

Neben der klassischen Darstellung der Kennzahlen-Abweichung in den Zwischenschritten können auch die Absolutwerte der Zwischenschritte eingeblendet werden. Verschiedene Hilfslinien verdeutlichen die Zusammenhänge zwischen den jeweiligen Werten und vereinfachen so deren Interpretation.

Besonders hervorzuheben ist der intelligente Scrolling-Mechanismus des Add-ons: steht nicht genügend Platz zur Visualisierung aller Zwischenschritte zur Verfügung, wird der Bereich der Zwischenschritte scrollbar. Die jeweils nicht sichtbaren Zwischenschritte werden ggf. in zusätzlichen Delta-Balken am Anfang und Ende zusammengefasst. Zu jedem Zeitpunkt ist somit erkenntlich, wie groß die gerade nicht sichtbaren Abweichungen sind.

Ihre Vorteile auf einen Blick

  • Vertikales Wasserfall-Diagramm zur Visualisierung von Start-, Zwischen- und End-Werten
  • Unterstützung von SAP BW-Hierarchien
  • Hierarchie-Navigation über BIAL-Skript
  • Intelligentes Scrolling inklusive aggregierter Darstellung nicht sichtbarer Zwischenschritte
  • Absolutwerte der Zwischenschritte einblendbar
  • Hilfslinien zur einfachen Interpretation einblendbar

Weekly Calendar

Der ABRACON Weekly Calendar ist ein SAP Lumira Designer Add-on (ehem. SAP BO Design Studio) mit dessen Hilfe Datenzeilen in einem nach Wochen kategorisierten Kalender visualisiert werden können. Jede Datenzeile entspricht dabei einem Eintrag im Kalender. Zur Einordnung in Kalenderwochen wird entweder ein Kalendertag (YYYYMMDD) oder eine -woche (YYYYWW) in der Datenquelle benötigt.

Die aktuelle Kalenderwoche ist durch einen Rahmen hervorgehoben. Zusätzlich können abhängig von den Merkmalsausprägungen und Kennzahlenwerten (Alerting) alle Kalendereinträge mit Hilfe von CSS flexibel formatiert werden.

Die Anzahl der angezeigten Kalenderwochen kann entweder fixiert oder über eine Mindestbreite pro Kalenderwoche in Abhängigkeit vom verfügbaren Platz errechnet werden. Mit Hilfe von BIAL-Skript kann im Kalender beliebig viele Wochen vor- oder zurückgesprungen werden, sodass auch initial nicht sichtbare Kalenderwochen durch Bedienen von Navigationselementen erreichbar sind.

Ihre Vorteile auf einen Blick

  • Visualisierung von Daten in einem nach Wochen organisierten Kalender
  • Unterstützt alle Datenquellen, die einen Kalendertag oder -woche beinhalten
  • Umfangreiches Alerting zur flexiblen Gestaltung der Kalendereinträge (über Dimensionen und Kennzahlen)
  • Dynamische oder fixierte Breiten der Kalenderwochen
  • Unterstützung von BIAL-Skript (z.B. zwecks Navigation im Kalender)
 

Herr Daniel Appelt

Senior Consultant & Developer SAP BI

ABRACON GmbH

+49 228 - 410 31 00

Ihr Ansprechpartner

Daniel Appelt ist SAP BI Senior Consultant und Entwickler bei der ABRACON GmbH. Seit 2002 konzipiert und realisiert der diplomierte Informatiker Entwicklungsprojekte im Business Intelligence-Umfeld. Sein Schwerpunkt liegt auf der Entwicklung SAP-basierter Web- und Mobilanwendungen, mit denen er innovative Lösungen für vielfältige Kundenanforderungen umsetzt.

Sie möchten mehr über unsere Charts & Diagrams Add-Ons für SAP Lumira Designer erfahren?

Wir stehen Ihnen gerne zur Verfügung, kontaktieren Sie uns einfach über Telefon, E-Mail oder auf unseren Social Media Kanälen.

 

Jetzt Kontakt aufnehmen

x